Ответ.
Задать вопрос!
Вход Регистрация
Задать вопрос!
Все категории
  • Фотография и видеосъемка
  • Знания
  • Другое
  • Гороскопы, магия, гадания
  • Общество и политика
  • Образование
  • Путешествия и туризм
  • Искусство и культура
  • Города и страны
  • Строительство и ремонт
  • Работа и карьера
  • Спорт
  • Стиль и красота
  • Юридическая консультация
  • Компьютеры и интернет
  • Товары и услуги
  • Темы для взрослых
  • Семья и дом
  • Животные и растения
  • Еда и кулинария
  • Здоровье и медицина
  • Авто и мото
  • Бизнес и финансы
  • Философия, непознанное
  • Досуг и развлечения
  • Знакомства, любовь, отношения
  • Наука и техника
женяйцукенг [21]
5 лет назад
12

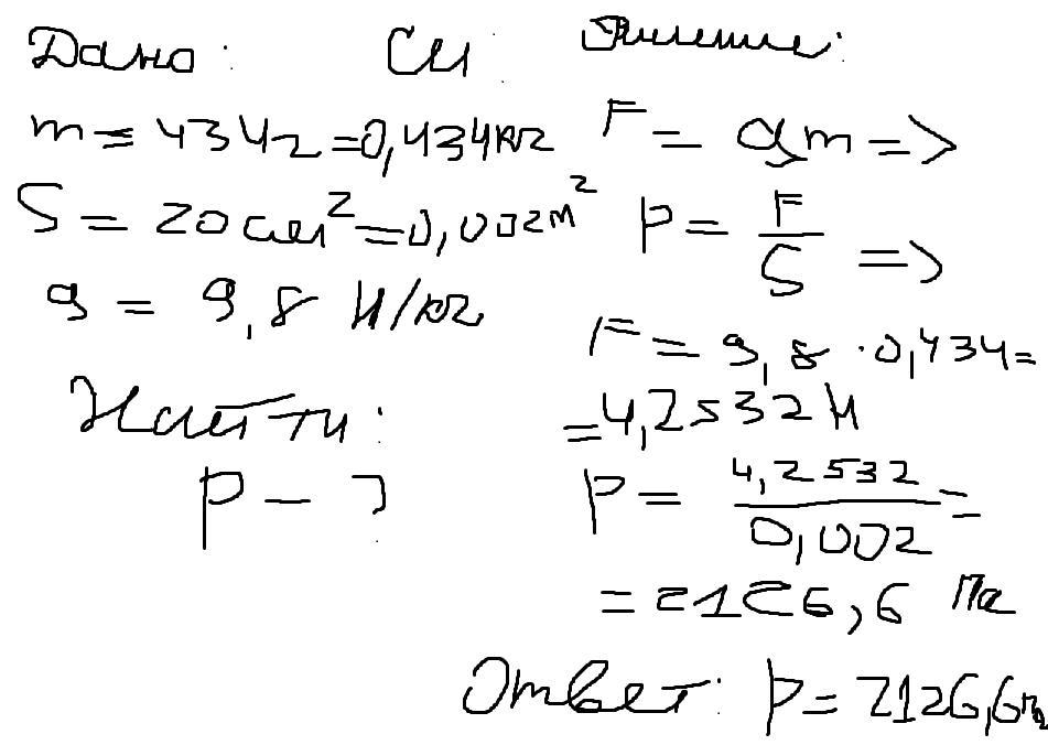
434 г жидкости налили в сосуд, площадь дна которого равна 20 см². Определи давление жидкости на дно сосуда. Принять g = 9,8 Н/кг

.

Знания
Физика
1 ответ:
bugsf5 лет назад
0 0

вложениееееееееееееееееее

Читайте также
Ослик, пройдя по мосту 3/8 его длины, оглянувшись, увидел движущийся к мосту автомобиль. Если ослик повернет назад, то встретит
Daimond
Пусть и ослик и автомобиль движутся равномерно (трения нет, дорога прямая и ровная)
Тогда нам понадобиться только одна формула для равмномерного движения по прямой:
S=v*t, где S - путь, v - скорость, t - время.

1) Пусть ослик побежал назад, тогда они встретятся в начале моста:
ослик: 3*L/8=Vос*t, где Vос - искомая скорость ослика.
автомобиль: x=V*t, где x - расстояние, которое проехал автомобиль до моста (мы его не знаем)
Из одного уравнения выразим время и подставим в другое:
3*L/8=Vос*x/V  -  (уравнение 1)
L - длина моста
2) Пусть теперь ослик бежит вперед:
ослик: 5*L/8=Vос*t2,
автомобиль: x2=V*t2,
Подставляем теперь t2: 5*L/8=Vос*x2/V   -  (уравнение 2)
3) Вычтем из второго уравнения первое:
2*L/8=Vос*(x2-x)/V
Путь автомобиля можно представить так x2=x+L, значит x2-x=L
Подставляем: L/4=Vос*L/V, теперь L сокращается,
окончательно получаем:
Vос=V/4
Ответ: Vос=V/4


0 0
2 года назад
СРОЧНО ПОМОГИТЕ......​
Manyana

Ответ:

Время

Объяснение:

Так как остальные величины производные

0 0
4 месяца назад
Решите качественную задачу два одинаковых магнита одновременно начинают падать с одной и той же высоты через закреплённые на одн
sergey122
Через замкнутое упадет позже, так как в замкнутом кольце возникнет индукционный ток, который будет препятствовать изменению положения магнита. А через разомкнутое кольцо индукционный ток не проходит.
0 0
5 лет назад
Вычислите работу силы 120Н при перемещении тела в направлении действия силы на 5 м
Лизи2104
Дано:
F = 120 H
s = 5 м
Найти:
A - ?
Решение:
А = F*s = 120 Н * 5 м = 600 Дж
Ответ: 600 Дж
0 0
4 года назад
На какую высоту человек поднялся бы за сутки ,если бы мог использовать для этого энергию , передаваемую им окружающей среде? Счи
CSV [45]
Для начала посчитаем кол-во энергии, которую человек выделит за сутки: 40*60*60*24= 3456000 Дж и поделим на силу необходимую для поднятия человека на 1 метр 
3456000/ 70 * 9.8 примерно равно 5038м, а если точно, то = 5037,90087....
0 0
5 лет назад
Прочитать ещё 2 ответа
Смотрите также:
  • При прохождении границы раздела двух прозрачных сред луч света . . . направление движения это физическое явление называется . .
    8·1 ответ
  • Давно уравнение колебательного движения x=0,4cos 5П t. Определить амплитуду, период колебаний и смещение при t=0,1с
    12·1 ответ
  • чем отличается явление отражения света от явления полного внутреннего
    6·1 ответ
  • Какую разность потенциалов должен пройти электрон, чтобы его скорость увеличилась от 10 до 30 Мм/с?
    5·1 ответ
  • На рисунке изображён график зависимости пути от времени для двух тел сравните скорость движения этих тел за первую сек
    9·1 ответ
  • Какой вид теплопередачи наблюдается если поднести руку к включенной электрической лампе накаливания?​
    14·1 ответ
  • Спортсмен бежит со скоростью 10/м.с выразите эту скорость в километрах в час
    6·1 ответ
  • Уравнение гармонических колебаний имеет вид x = 5cos(πt/4 + π/2) cм. Чему равен период этого колебания?
    14·2 ответа
  • Масса 2.5 тонн, площадь единичного квадрата 6 см2. Найти давление
    11·1 ответ
  • Сколько кДж или ккал теплоты потребуется для, того чтобы довести до кипения (100℃) 1 л воды с температурой 25℃? Какова теплоемко
    5·1 ответ
Добавить ответ
Вход
Не зарегистрированы? Пройти быструю регистрацию
Регистрация
Вход Регистрация
Задать вопрос!